Der Asynchronmotor heisst so, weil er sich nicht genau mit der Netzfrequenz dreht. Er hat nur ein Drehmoment, wenn seine Drehzahl von der synchronen Drehzahl (Netzfrequenz) abweicht. Im Betriebsbereich ist das Drehmoment proportional zu dieser Abweichung, welche als Schlupf bezeichnet wird. Wenn die Maschine langsamer als das Netz dreht, ist sie ein Motor, wenn sie schneller dreht, ein Generator. Die Berechnung der Schlupfleistung kann grafisch erfolgen, die Berechnung des Drehmomentes ist komplizierter.
Einleitung
Beim Asynchronmotor wird im Rotor eine Spannung über das sich drehende Magnetfeld des Stators induziert. Aus diesem Grund wird er auch Induktionsmotor genannt. In die Nuten des Stators sind Wicklungspakete eingelegt. Im Rotor ist beim Kurzschlussankermotor nur ein Leiter pro Nut eingelegt oder eingegossen. Die Rotorleiter werden über je einen Ring an den Stirnflächen des Rotors kurzgeschlossen. Es werden weder Bürsten noch Magnete verwendet.

Es gibt auch grössere Asynchronmaschinen, welche im Rotor eine Wicklung wie im Stator haben. Die 3 Anschlüsse dieser Wicklungen werden über 3 Schleifringe nach aussen geführt. Man nennt diesen Motorentyp Schleifringmotor.
Der Asynchronmotor wird direkt an das Drehstromnetz (3 * 400 V) angeschlossen. Für kleine Leistungen (unter 2 kW) kann der Asynchronmotor mit einem Kondensator auch an das Wechselstromnetz (1 * 230 V) angeschlossen werden. Für noch kleinere Leistungen gibt es den Spaltpolmotor (einphasiger Asynchronmotor mit Kerbe im Stator und Kurzschlussringen). Spaltpolmotoren haben einen schlechten Wirkungsgrad (weniger als 50 %).

Typenschild eines Asynchronmotors
| 1 | Motorenwerke ACME | IE3 | 7 |
| 2 | ASM 100L-2 | 0123456 | 8 |
| 3 | 400/690 V | 5.76 A | 9 |
| 4 | 3 kW | cosφ 0.86 | 10 |
| 5 | 2890 U/min | 50 Hz | 11 |
| 6 | Isol. Kl. F | IP 44 | 12 |
Die einzelnen Eintragungen bedeuten:
| Feld | Symbol | Bezeichnung | Bemerkungen |
|---|---|---|---|
| 1 | Hersteller | ||
| 2 | Motortyp | Typenbezeichnung des Herstellers, oft Baugrösse und Polzahl | |
| 3 | U | Nennspannung | Verkettete Spannung, der erste Wert für die Nennleistung in der Dreieckschaltung, der zweite Wert in der Sternschaltung |
| 4 | P | Nennleistung | Zulässige dauernde mechanische Abgabeleistung |
| 5 | n | Nenndrehzahl | Drehzahl bei der Belastung mit dem Nennmoment |
| 6 | Isolationsklasse | Temperaturfestigkeit der Wicklung | |
| 7 | Effizienzklasse | IE4 ist derzeit am besten, früher EFF1 | |
| 8 | Serienummer | ||
| 9 | I | Nennstrom | Stromaufnahme bei Nennspannung und Nennbelastung |
| 10 | cosφ | Leistungsfaktor | Phasenwinkel bei Nennspannung und Nennbelastung |
| 11 | f | Nennfrequenz | Die Frequenz bezieht sich auf die Nenndaten |
| 12 | Schutzklasse | Schutz gegen das Eindringen von Fremdkörper und Wasser |
Aus diesen Daten lassen sich folgende Nenngrössen ableiten:
| Formel | Einheit | Bezeichnung | Beispiel | Bemerkungen |
|---|---|---|---|---|
| \(n_0=\frac{f \cdot 60 \frac{\text{s}}{\text{min}}}{p}\) | U/min | Leerlaufdrehzahl | 3000 U/min | aus der Nennfrequenz und Polpaarzahl (p) |
| \(\Omega=n \frac{\pi}{30}\) | rad/s | Nennwinkelgeschwindigkeit | 302.6 rad/s | bei 50 Hz Netzfrequenz ein 2-poliger Motor |
| \(M=\frac{P}{\Omega}\) | Nm | Nenndrehmoment | 9.9 Nm | Zulässige dauernde Belastung |
| \(P_{\small{el}}=\sqrt{3} \cdot U \cdot I \cdot \cos{\varphi}\) | W | Elektrische Leistung | 3432 W | Leistungsaufnahme bei Nennblastung |
| \(\eta= \frac{P_{\small{ab}}}{P_{\small{auf}}}\) | - | Wirkungsgrad | 87.4% |
Für IE3 sind 87.1% Wirkungsgrad erforderlich |
| \(P_{\small{v}}= P_{\small{auf}}-P_{\small{ab}}\) | W | Verluste | 432 W | Verluste in der Statorwicklung, der Rotorwicklung, im Eisen, dem Lüfter und Lagerreibung Mit einer Toleranz von 15% können die Nennverluste auch 65 W grösser sein. |
| \(I_{\small{w}}= I \cos{\varphi}\) | A | Wirkstrom | 4.95 A | Bei Nennspannung und Nennbelastung |
| \(I_{\small{m}}= I \sin{\varphi}\) | A | Magnetisierungsstrom | 2.94 A | Blindstrom |
Grundgleichungen

Das Ersatzschaltbild der Asynchronmaschine ist sehr ähnlich dem eines Transformators. Im Ersatzschaltbild wird als Last an den Sekundärklemmen ein Widerstand eingesetzt, welcher vom Schlupf s [-] abhängig ist. Bei Drehzahlen um die Leelaufdrehzahl Ω0 [rad/s] wird dieser Widerstandswert gross. Bei Drehzahlen über der Leerlaufdrehzahl wird der Widerstandswert negativ, der Widerstand wird zur Quelle. Die Leistung im Widerstand Rr (1-s)/s Ir² [W] im Widerstand entspricht der mechanischen Leistung M Ω = M Ω0 (1-s) [W], das Drehmoment ist somit M = Rr Ir² / (s Ω0) [Nm].
Aus diesem einphasigen Ersatzschaltbild lassen sich untenstehende Grundgleichungen herleiten:
| Formel | Einheit | Bezeichnung | Bemerkungen |
|---|---|---|---|
![]() |
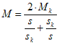
Nm | Drehmoment | in Funktion der Statorspannung Us |
| Nm | Drehmoment | in Funktion des Statorstromes Is | |
| 1/s | Leerlaufdrehzahl | auch synchrone Drehzahl genannt | |
| - | Schlupf | im Stillstand ist s = 1 im Leerlauf s = 0 | |
![]() |
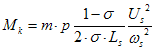
Nm | Kippmoment | das maximale Drehmoment des Motors im Betriebsbereich |
| - | Kippschlupf | der Schlupf, bei dem das Kippmoment wirkt | |
| - | Streuung | ||
| - | Rotorhilfswert | drehzahlabhängig | |
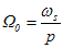
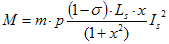
![]() |
Drehmoment | Formel von Kloss |
| Symbol | Einheit | Bezeichnung | Bemerkungen |
|---|---|---|---|
| Us | V | Statorspannung | Strangspannung (Phase-Null) |
| Is | A | Statorstrom | Strangstrom (Sternschaltung) |
| ωs | rad/s | Statordrehfrequenz | ω = 2 π f (bei 50 Hz = 314 rad/s) |
| f | Hz | Statorfrequenz | üblicherweise 50 Hz, in Amerika 60 Hz |
| Rs | Ω | Statorwiderstand | bei grossen Motoren zu vernachlässigen |
| Lσs | H | Statorstreuinduktivität | beeinflusst das Kippmoment und den Anlaufstrom |
| Ls | H | Statorinduktivität | Ls = Lσs + Lh |
| Lh | H | Hauptinduktivität | gemeinsame Induktivität von Stator und Rotor |
| Ur | V | Rotorspannung | bei Kurzschlussankermotoren ist Ur = 0 |
| Ir | A | Rotorstrom | |
| ωr | rad/s | Rotordrehfrequenz | im Stillstand ist ωr = ωs im Leerlauf ωr = 0 |
| Rr | Ω | Rotorwiderstand | bei Industriemotoren schlupfabhängig |
| Lσr | H | Rotorstreuinduktivität | beeinflusst das Kippmoment und den Anlaufstrom |
| Lr | H | Rotorinduktivität | Lr = Lσr + Lh |
| m | - | Anzahl Phasen | üblicherweise 3 (für Drehstrom) |
| p | - | Polpaarzahl | eine 2-polige Maschine hat die Polpaarzahl 1 |
| Ω | rad/s | Drehzahl | 3000 U/min sind 314 rad/s |
Daraus ergibt sich untenstehende Kennlinie, wie sie bei Schleifringankermotoren gemessen werden. Bei diesen wird über Schleifkontakte die Rotorwicklung abgegriffen und an externe Widerstände oder Phasenanschnittgeräte angeschlossen. Im Nennbetrieb sind die Rotorwicklungen intern oder extern kurzgeschlossen.

Stromverdrängungsläufer
Die Drehmoment-Drehzahl-Kennlinie eines Asynchronmotors mit einer runden Leiterform im Rotor ist für den Netzbetrieb nicht universell geeignet, da das Anlaufmoment (auch Anzugsmoment genannt) gering ist. Für den Betrieb mit einem Frequenzumrichter wären runde Rotorleiter besser, aber solche Motoren sind nicht Standard. Für ein hohes Anlaufmoment setzt man spezielle Leiterformen ein, welche auch einen geringen Anlaufstrom ergeben.

Beim Anlauf ist die Rotorfrequenz so hoch wie im Stator. Dann wird durch das wechselnde Magnetfeld des Rotorstroms der Strom aus den inneren Zonen des Rotor Richtung Luftspalt gedrängt (Stromverdrängung). Dadurch erhöht sich der Widerstand der Rotorwicklung und der Kippschlupf wird grösser, was ein höheres Moment bei tiefen Drehzahlen ergibt. Wenn der Motor in den Bereich der Nenndrehzahl gelangt, wird die Rotorfrequenz immer kleiner (fast Gleichstrom) und die Stromverdrängung wirkt kaum noch. Dadurch steht der ganz Rotorleiterquerschnitt zur Verfügung, was einen geringen Widerstandswert und somit einen kleinen Kippschlupf ergibt. Durch die steile Kennlinie läuft der Motor auf einer hohen Nenndrehzahl (geringer Schlupf), er hat eine grössere Leistung und geringe Rotorverluste (hohen Wirkungsgrad). Beim Rundstabläufer ist der Stromverdrängungseffekt gering, dafür hat er die höchste Nennleistung. Standardmotoren haben einen Hochstab- oder Doppelstabläufer. Es gibt auch noch weitere Läuferformen wie der Tropfenstab und Keilstab. Die Leiterformen bewirken untenstehende Drehmoment-Drehzahl-Kennlinien:

Vereinfachte Grundformeln
Für Asynchronmotoren können folgende vereinfachte Beziehungen verwendet werden:
| Formel | Einheit | Bezeichnung | Bemerkungen |
|---|---|---|---|
| Nm | Drehmoment | das Drehmoment ist im Bereich der Nenndrehzahl ungefähr proportional zum Produkt aus Wirkstrom und Magnetisierungsstrom | |
| Nm | Drehmoment | das Drehmoment ist zwischen der Hälfte der Kippmomente ungefähr proportional zum Schlupf | |
| V | Spannung | die Spannung ist ist im Bereich der Nenndrehzahl etwa proportional zum Magnetisierungsstrom und zur Drehzahl |
| Symbol | Einheit | Bezeichnung | Bemerkungen |
|---|---|---|---|
| Iw | A | Wirkstrom | Iw = I cosφ kann über eine Wirkleistungsmessung ermittelt werden |
| Im | A | Magnetisierungsstrom | Im = I sinφ auch Blindstrom genannt |
| Mn | Nm | Nennmoment | Nennleistung durch Nenndrehzahl in rad/s |
| sn | - | Nennschlupf | Schlupf bei der Nenndrehzahl |
Veränderung der Statorspannung
Beim Anlauf nimmt der Asynchronmotor sehr hohe Ströme auf. Um die Belastung des Stromnetzes zu reduzieren wird der Motor bei grösseren Leistungen mit einer tieferen Spannung angefahren. Mit der Stern/Dreieck Schaltung liegen in der Sternschaltung 400 V über zwei Windung an. Nach einer gewissen Zeit wird durch einen externen Schalter in die Dreieckschaltung umgeschaltet und 400 V an eine Windung angelegt. In der Sternschaltung hat der Motor nur ein Drittel des Drehmomentes. Auf dem Typenschild sind die erforderlichen Spannungen für die Nennleistung in Dreieck und Sternschaltung angegeben (Nennspannung 400/690 V). Die hohen Anlaufströme und die mechanischen Anfahrstösse können auch mit einem Einschaltwiderstand oder einem Sanftanlaufgerät reduziert werden. Das Sanftanlaufgerät (Phasenanschnittgerät zur kontinuierlichen Spannungserhöhung) wird normalerweise nach dem Hochfahren überbrückt.


Motoren sind zur maximalen magnetischen Ausnützung des Eisens oft knapp ausgelegt. Das heisst, wenn sie mit einer zu hohen Spannung betrieben werden, kommt das Eisen in die Sättigung und der Strom nimmt überproportional zu (hohe Leerlaufverluste). Industriemotoren werden meistens knapp unter der Sättigungsgrenze ausgelegt, um einen möglichst hohen magnetischen Fluss zu haben. Eine höhere Betriebsspannung bewirkt eine überproportionale Zunahme des Stromes, erhöht kaum das Drehmoment und kann den Motor zerstören. Einen 400 V Motor sollte man also nicht an ein 500 V Stromnetz anschliessen.
Veränderung des Rotorwiderstandes
Für besondere Anwendungen (Aufzüge ...) werden auch Asynchronmotoren mit einem hohen Läuferwiderstand (Rotorwiderstand) gebaut. Je höher der Widerstand ist, desto mehr verschiebt sich das maximale Drehmoment (Kippmoment) zu tiefen Drehzahlen. Solche Widerstandsläufermotoren haben einen schlechten Wirkungsgrad und brauchen deshalb ein grosses Gehäuse, um die Verlustwärme loszuwerden. Bei grösseren Leistung wird statt des Kurzschlussankers im Rotor eine Drehstrom-Wicklung eingelegt, deren Enden über 3 Schleifringe von aussen abgegriffen werden. Die Rotorleistung wird dann in externen Widerständen verheizt (Anlaufwiderstände) oder über ein Steuergerät (Untersynchrone Kaskade) ins Netz zurückgespiesen.

Veränderung der Statorfrequenz
Mit einem Frequenzumrichter kann die Statorspannung und Frequenz des Asynchronmotors stufenlos verändert werden. Dadurch wird aus dem Standardmotor ein drehzahlveränderliches Antriebssystem. Mit einem Rotorlagegeber, dem Errechnen der Magnetisierung und dem Einprägen der entsprechenden Statorströme (Vektorregelung) hat ein Asynchronmotor die Regeleigenschaften eines Servoantriebes.

Wenn die Frequenz über die Nennfrequenz erhöht wird, was für den Frequenzumrichter kein Problem ist, nimmt der Magnetisierungsstrom ab, da die Ausgangsspannung normalerweise nicht über den Nennwert erhöht werden kann. Wie bei der Gleichstrommaschine bei geschwächtem Erregerfeld nennt man diesen Bereich Feldschwächbereich. Das Kippmoment fällt quadratisch mit der Frequenz, das Nennmoment proportional zur Frequenz. Daraus ergibt sich ein Bereich konstanter Nennleistungsabgabe, bis das Kippmoment kleiner als das Nennmoment wird.

Veränderung der Streuung
Die standardisierten Asynchronmotoren sind für den Betrieb am Drehstromnetz konstruiert. Das heisst, sie haben ein hohen Anlaufmoment (Stromverdrängungsnuten), sie sind getrimmt auf einen möglichst niedrigen Anlaufstrom und ein Kippmoment das das 2 bis 4-fache des Nennmomentes beträgt. Auch Asynchronmaschinen im Megawattbereich, welche in Einzelstücken hergestellt werden, unterliegen dieser Orientierung am Netzbetrieb. Ein Antriebssystem, welches aus einem Frequenzumrichter und einer Asynchronmaschine besteht, stellt andere Anforderungen an den Motor.
Durch eine geschickte Konstruktion, welche die Streuung minimiert, kann das Kippmoment sehr viel höher liegen. Dadurch kann der Asynchronmotor kurzzeitig ein Mehrfaches seines Nennmomentes abgeben, ohne überdimensioniert zu sein. Bei Anwendungen, welche über einen weiten Bereich konstante Leistung benötigen (spanabhebende Bearbeitung, Zentrumswickler, Traktion ...), erlaubt dieses hohe Kippmoment einen grossen Feldschwächbereich, indem der Wirkungsgrad besser als im Nennpunkt sein kann.

Am Beispiel einer streuarmen Asynchronmaschine ergeben sich beim Betrieb mit einem Frequenzumrichter folgende Wirkungsgrade in Funktion der Drehzahl und Belastung:



